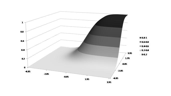
Extreme Events – Figure 3.4: Cumulative
distribution function for standard bivariate normal with rho = 0
[this page | pdf | references | back links]
SmartChart version:
Not available
Variant used in book:

Source: Nematrian. Copyright (c) Nematrian (2010)
NAVIGATION LINKS
Contents | Prev | Next | Chapter 3